+ Lisa oma töö      

Otsid ehitajat "Lammutustööd" valdkonnast?

Parima pakkumise ja teostaja leidmiseks lisa oma töö.

Korteri rekonstrueerimine ( seina ava freesimine )

ID 30556

3506 vaatamist

Prindi

  • check Pakkumiste tegemine
    kuni 14.07.2014
  • check Võitja valik kuni
    21.07.2014
  • 3 Töö teostamine
    ja hinnang
Hanke lõpp: E, 14. juuli, 2014
Maakond: Harjumaa
Linn: Keila
Tööde algus: E, 14. juuli, 2014 (Soovituslik)
Tööde lõpp: T, 15. juuli, 2014 (Soovituslik)
Ehitusmaterjalid: Töö tegija poolt

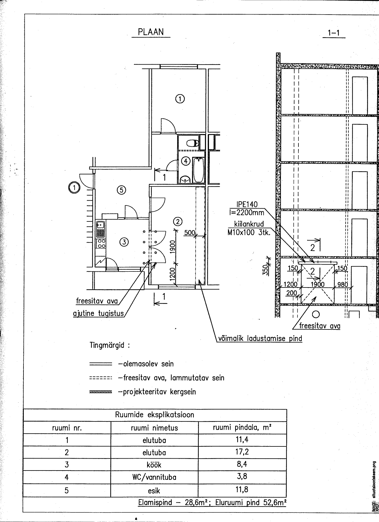
Töö sisu

Tööks oleks raudbeetoonseina ava freesimine köögi ja elutoa vahele ning eraldi sooviks ka hinnapakkumist vannitoa ja wc vahelise seina eemaldamiseks ja vannitoa põranda freesimiseks. S.t kahes osas 1)elutoa-köök 2) wc-vannituba.

Lisatud failides on täpselt ära märgitud, kuidas ja kui palju freesima peaks.

Kõik küsimused teretulnud. Loodetavasti jõuab kellegagi kokkuleppele!

Pildid, video ja failid

Hanke korraldaja: eraisik ID35676

Pakkumised

Pakkumisi kokku: 2

Ettevõte Summa Käibemaks Lisatud Vestlus
Kasutaja ikoon ID3524
Pakkuja profiil Väike nool paremale
1 800€ Sisaldab KM Sisaldab KM 30.06.2014 Vestlus (0)

Pakkumise kirjeldus:

Sisaldab hankedokumentides nimetatud töid!

Kasutaja ikoon ID35863
Pakkuja profiil Väike nool paremale
1 500€ Sisaldab KM Sisaldab KM 09.07.2014 Vestlus (0)

Pakkumise kirjeldus:

Hetkel teeksin sellise pakkumise, kuna vastust vannitoa põranda kohta ma pole veel saanud.
Kogemustest eeldan, et sellise töömahuga peaks selle eelarvega välja tulema. Kui saan rohkem infot, võib hinna saada ka sootsamaks. Kõik oleneb lõigete arvust ja aja hulgast.
Osalist ettemaksu küsin vajamineva materjali soetamiseks.
Olen antud tööd palju ... Rohkem

Küsimused hanke korraldajale

Küsimus: private ID33965   04.07.2014 17:37
Tere.Tänan pakkumiskutse eest,kuid hetke seisuga pakkumisest osa ei võta,töödega koormatud.Edu !

Teavita reeglite rikkumisest

Korraldaja vastus:
Hanke korraldaja ei ole küsimusele veel vastanud

Küsimus: private ID35863   06.07.2014 12:11
Millises seisukorras on korter, kui palju peab töö tegemisel kõrvalolevaid seinu katma ja põrandaid kaitsma?

Teavita reeglite rikkumisest

Korraldaja vastus: 06.07.2014 12:42

Korteris toimub üldine remont ja katmist põhimõtteliselt pole vaja.

Teavita reeglite rikkumisest

Küsimus: private ID35863   07.07.2014 19:22
Kahjuks ei loe ma siit failidest kuskilt välja teemat, mis puutub Vannitoa põranda lõikustest, ehk saate mulle veidi täpsustada mida mõeldud on? Kas lugesin õieti et tegemist on I korrusega?

Teavita reeglite rikkumisest

Korraldaja vastus: 07.07.2014 19:30

Vannitoa porandat polegi projektis. Praegune porand moodusta usnagi suure astme momendil (vorreldes koridori ja wc-ga). Tegu 1. Korrusega jah.

Teavita reeglite rikkumisest

Küsimus: private ID35863   07.07.2014 19:49
Nagu aru saan soovite vannitoa põrandat samale tasapinnale koritori ja WC, seega oleks vaja eelnevat infot kui palju maha oleks vaja võtta ja kas põrandal on ka mingit torustikku mida soovitakse säilitada. Üks asi on tasapinda lõigata ja see välja piigata, teine asi on kui on vaja rajada sinna veel uued trassid. Kas tööst ootate ainult põrandapinna langetust? Kas akna alla saaks autot parkida et jäägid aknast otse auto kasti saaks laadida?

Teavita reeglite rikkumisest

Korraldaja vastus:
Hanke korraldaja ei ole küsimusele veel vastanud

Lisa küsimus

Lisa küsimus

Minu pakkumine

Reeglid

Pakkumise kirjelduse väli on mõeldud pakkumise detailsemaks lahti kirjutamiseks. Pikema teksti mugavaks sisestamiseks klikkige kasti paremal ülaservas oleval ikoonil.
Pakkumist tehes on keelatud postitada enda kontaktandmeid (nimi, telefon, aadress jne). Me jälgime ja analüüsime pakkumisi, et vältida pettuseid ja reeglite rikkumisi.
Rikkumise puhul kasutajakonto blokeeritakse.

 

Teisi töid samas valdkonnas

Valdkonnas "Lammutustööd" on 7 aktiivset tööd

Keldri bokside ja elektri eemaldamine

Asukoht: Tartumaa, Tartu
Aega jäänud: 4p 10h
Tehtud pakkumisi: 12

Aia lammutus

Asukoht: Harjumaa, Tallinn
Aega jäänud: 4p 10h
Tehtud pakkumisi: 11

Vanemad teated:

Vaata kõiki

Sellel veebilehel kasutatakse küpsiseid. Kasutamist jätkates nõustute küpsiste kasutamisega.

Sulge
 
Minu pakkumine

Reeglid

Pakkumise kirjelduse väli on mõeldud pakkumise detailsemaks lahti kirjutamiseks. Pikema teksti mugavaks sisestamiseks klikkige kasti paremal ülaservas oleval ikoonil.
Pakkumist tehes on keelatud postitada enda kontaktandmeid (nimi, telefon, aadress jne). Me jälgime ja analüüsime pakkumisi, et vältida pettuseid ja reeglite rikkumisi.
Rikkumise puhul kasutajakonto blokeeritakse.