+ Lisa oma töö      

Otsid ehitajat "Projekteerimine" valdkonnast?

Parima pakkumise ja teostaja leidmiseks lisa oma töö.

Ehitusprojekti täiendamine kortermaja renoveerimiseks

ID 31671

1792 vaatamist

Prindi

  • check Pakkumiste tegemine
    kuni 09.11.2014
  • check Võitja valik kuni
    16.11.2014
  • 3 Töö teostamine
    ja hinnang
Hanke lõpp: P, 9. november, 2014
Maakond: Harjumaa
Linn: Tallinn
Tööde algus: R, 31. oktoober, 2014 (Soovituslik)
Tööde lõpp: K, 31. detsember, 2014 (Soovituslik)
Ehitusmaterjalid: Töö tellija poolt

Töö sisu

Soovime hinnapakkumust Tallinnas miljööväärtuslikul alal paikneva kahekordse puidust kortermaja renoveerimise projekti täiendamist vastavalt projekteerimistingimustele.
Hinnale palume lisada töö teostamise tähtaja.
Töö tegijalt eeldame varasema sarnase töö kogemust, palume lisada vastav referents.

Pildid, video ja failid

Hanke korraldaja: eraisik ID36929

Pakkumised

Pakkumisi kokku: 0

Küsimused hanke korraldajale

Küsimus: private ID28669   31.10.2014 17:36
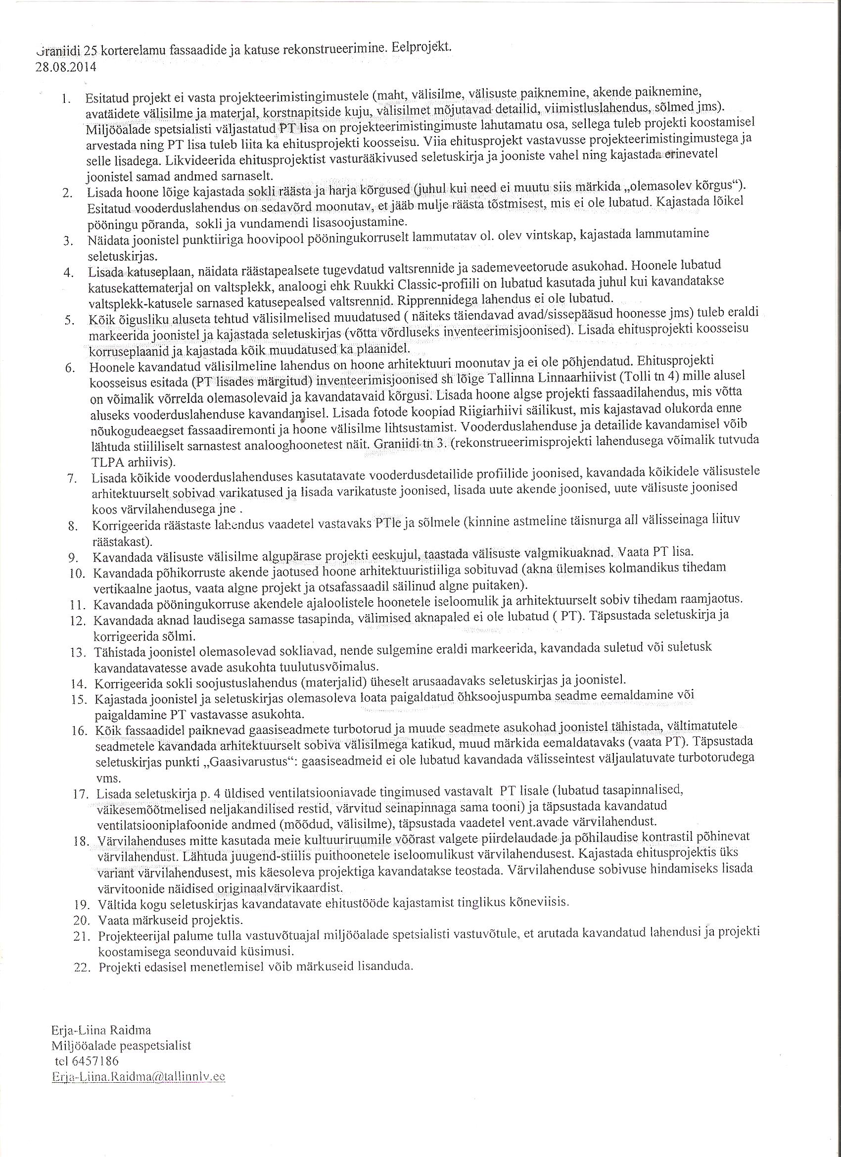
Palun lisada võimalusel kultuuriväärtuste ameti miljööalade spetsialisti märkused, et kohendamist vajavat hinnata ja selgitada mis projekteerimise juures täpsemalt ei vastanud projekteerimise tingimustele (eraldi fail või leht). Kas pealeehitamise kohta on ekspertiis olemas. Ja kas projekti failid on olemas?

Teavita reeglite rikkumisest

Korraldaja vastus: 02.11.2014 20:18

Küsitud dokument on olemas, palun vaadake faili: PT178200183696_miljoo.doc<br />
Vabandan ebatäpsuse pärast, laiendamist/pealeehitust ei toimu. Projekt on ainult pdf kujul.

Teavita reeglite rikkumisest

Küsimus: private ID28669   02.11.2014 21:56
Vabandust, failis PT178200183696_miljoo.doc on miljööalaspetsi tingimused projekteerimiseks kuid projektile tehtud märkused puuduvad. Palun krundi katastritunnus, kas kehtiv geodeesia olemas.

Teavita reeglite rikkumisest

Korraldaja vastus: 03.11.2014 22:21

Lisatud projektile tehtud märkused jpg failina.<br />
Katastriüksuse tunnus 78408:801:0081<br />
Kehtiv geodeesia on olemas.

Teavita reeglite rikkumisest

Lisa küsimus

Lisa küsimus

Minu pakkumine

Reeglid

Pakkumise kirjelduse väli on mõeldud pakkumise detailsemaks lahti kirjutamiseks. Pikema teksti mugavaks sisestamiseks klikkige kasti paremal ülaservas oleval ikoonil.
Pakkumist tehes on keelatud postitada enda kontaktandmeid (nimi, telefon, aadress jne). Me jälgime ja analüüsime pakkumisi, et vältida pettuseid ja reeglite rikkumisi.
Rikkumise puhul kasutajakonto blokeeritakse.

 

Teisi töid samas valdkonnas

Valdkonnas "Projekteerimine" on 7 aktiivset tööd

no-img Pilt puudub

1-kordse 120 m2 elumaja põhiprojekt

Asukoht: Harjumaa, Metsanurme
Aega jäänud: 8p 9h
Tehtud pakkumisi: 4

no-img Pilt puudub

Saunamaja eelprojekt ehitusteatiseks

Asukoht: Lääne-Virumaa
Aega jäänud: 1p 9h
Tehtud pakkumisi: 3

Vanemad teated:

Vaata kõiki

Sellel veebilehel kasutatakse küpsiseid. Kasutamist jätkates nõustute küpsiste kasutamisega.

Sulge
 
Minu pakkumine

Reeglid

Pakkumise kirjelduse väli on mõeldud pakkumise detailsemaks lahti kirjutamiseks. Pikema teksti mugavaks sisestamiseks klikkige kasti paremal ülaservas oleval ikoonil.
Pakkumist tehes on keelatud postitada enda kontaktandmeid (nimi, telefon, aadress jne). Me jälgime ja analüüsime pakkumisi, et vältida pettuseid ja reeglite rikkumisi.
Rikkumise puhul kasutajakonto blokeeritakse.